INSERT
Purpose
Use the INSERT statement to add rows to a table, the base table of a view, a partition of a partitioned table or a subpartition of a composite-partitioned table, or an object table or the base table of an object view.
Prerequisites
For you to insert rows into a table, the table must be in your own schema or you must have the INSERT object privilege on the table.
For you to insert rows into the base table of a view, the owner of the schema containing the view must have the INSERT object privilege on the base table. Also, if the view is in a schema other than your own, then you must have the INSERT object privilege on the view.
If you have the INSERT ANY TABLE system privilege, then you can also insert rows into any table or the base table of any view.
You must also have the READ or SELECT object privilege on the table into which you want to insert rows if the table is on a remote database.
Conventional and Direct-Path INSERT
You can use the INSERT statement to insert data into a table, partition, or view in two ways: conventional INSERT and direct-path INSERT. When you issue a conventional INSERT statement, Oracle Database reuses free space in the table into which you are inserting and maintains referential integrity constraints. With direct-path INSERT, the database appends the inserted data after existing data in the table. Data is written directly into data files, bypassing the buffer cache. Free space in the existing data is not reused. This alternative enhances performance during insert operations and is similar to the functionality of the Oracle direct-path loader utility, SQL*Loader. When you insert into a table that has been created in parallel mode, direct-path INSERT is the default.
The manner in which the database generates redo and undo data depends in part on whether you are using conventional or direct-path INSERT:
-
Conventional
INSERTalways generates maximal redo and undo for changes to both data and metadata, regardless of the logging setting of the table and the archivelog and force logging settings of the database. -
Direct-path
INSERTgenerates both redo and undo for metadata changes, because these are needed for operation recovery. For data changes, undo and redo are generated as follows:-
Direct-path
INSERTalways bypasses undo generation for data changes. -
If the database is not in
ARCHIVELOGorFORCELOGGINGmode, then no redo is generated for data changes, regardless of the logging setting of the table. -
If the database is in
ARCHIVELOGmode (but not inFORCELOGGINGmode), then direct-pathINSERTgenerates data redo forLOGGINGtables but not forNOLOGGINGtables. -
If the database is in
ARCHIVELOGandFORCELOGGINGmode, then direct-path SQL generate data redo for bothLOGGINGandNOLOGGINGtables.
-
Direct-path INSERT is subject to a number of restrictions. If any of these restrictions is violated, then Oracle Database executes conventional INSERT serially without returning any message, unless otherwise noted:
-
You can have multiple direct-path
INSERTstatements in a single transaction, with or without other DML statements. However, after one DML statement alters a particular table, partition, or index, no other DML statement in the transaction can access that table, partition, or index. -
Queries that access the same table, partition, or index are allowed before the direct-path
INSERTstatement, but not after it. -
If any serial or parallel statement attempts to access a table that has already been modified by a direct-path
INSERTin the same transaction, then the database returns an error and rejects the statement. -
The target table cannot be of a cluster.
-
The target table cannot contain object type columns.
-
Direct-path
INSERTis not supported for an index-organized table (IOT) if it has a mapping table, or if it is reference by a materialized view. -
Direct-path
INSERTinto a single partition of an index-organized table (IOT), into a partitioned IOT with only one partition, or into an IOT that is not partitioned, will be done serially, even if the IOT was created in parallel mode or you specify theAPPENDorAPPEND_VALUEShint. However, direct-pathINSERToperations into a partitioned IOT will honor parallel mode as long as the partition-extended name is not used and the IOT has more than one partition. -
The target table cannot have any triggers or referential integrity constraints defined on it.
-
The target table cannot be replicated.
-
A transaction containing a direct-path
INSERTstatement cannot be or become distributed.
You cannot query or modify direct-path inserted data immediately after the insert is complete. If you attempt to do so, an ORA-12838 error is generated. You must first issue a COMMIT statement before attempting to read or modify the newly-inserted data.
See Also:
-
Oracle Database Administrator's Guide for a more complete description of direct-path
INSERT -
Oracle Database Utilities for information on SQL*Loader
-
Oracle Database SQL Tuning Guide for information on statistics gathering when inserting into an empty table using direct-path
INSERT
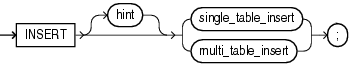
Syntax
insert::=
single_table_insert::=
(insert_into_clause::=, values_clause::=, returning_clause::=, subquery::=, error_logging_clause::=)
insert_into_clause::=
values_clause::=
multi_table_insert::=
(insert_into_clause::=, values_clause::=, conditional_insert_clause::=, subquery::=, error_logging_clause::=)
conditional_insert_clause::=
DML_table_expression_clause::=
(partition_extension_clause::=, subquery::=—part of SELECT, subquery_restriction_clause::=, table_collection_expression::=)
partition_extension_clause::=
subquery_restriction_clause::=
table_collection_expression::=
error_logging_clause::=
Semantics
hint
Specify a comment that passes instructions to the optimizer on choosing an execution plan for the statement.
For a multitable insert, if you specify the PARALLEL hint for any target table, then the entire multitable insert statement is parallelized even if the target tables have not been created or altered with PARALLEL specified. If you do not specify the PARALLEL hint, then the insert operation will not be parallelized unless all target tables were created or altered with PARALLEL specified.
See Also:
-
"Hints" for the syntax and description of hints
single_table_insert
In a single-table insert, you insert values into one row of a table, view, or materialized view by specifying values explicitly or by retrieving the values through a subquery.
You can use the flashback_query_clause in subquery to insert past data into table. Refer to the flashback_query_clause of SELECT for more information on this clause.
Restriction on Single-table Inserts
If you retrieve values through a subquery, then the select list of the subquery must have the same number of columns as the column list of the INSERT statement. If you omit the column list, then the subquery must provide values for every column in the table.
See Also:
insert_into_clause
Use the INSERT INTO clause to specify the target object or objects into which the database is to insert data.
DML_table_expression_clause
Use the INTO DML_table_expression_clause to specify the objects into which data is being inserted.
schema
Specify the schema containing the table, view, or materialized view. If you omit schema, then the database assumes the object is in your own schema.
table | view | materialized_view | subquery
Specify the name of the table or object table, view or object view, materialized view, or the column or columns returned by a subquery, into which rows are to be inserted. If you specify a view or object view, then the database inserts rows into the base table of the view.
You cannot insert rows into a read-only materialized view. If you insert rows into a writable materialized view, then the database inserts the rows into the underlying container table. However, the insertions are overwritten at the next refresh operation. If you insert rows into an updatable materialized view that is part of a materialized view group, then the database also inserts the corresponding rows into the master table.
If any value to be inserted is a REF to an object table, and if the object table has a primary key object identifier, then the column into which you insert the REF must be a REF column with a referential integrity or SCOPE constraint to the object table.
If table, or the base table of view, contains one or more domain index columns, then this statement executes the appropriate indextype insert routine.
Issuing an INSERT statement against a table fires any INSERT triggers defined on the table.
See Also:
Oracle Database Data Cartridge Developer's Guide for more information on these routines
Restrictions on the DML_table_expression_clause
This clause is subject to the following restrictions:
-
You cannot execute this statement if
tableor the base table ofviewcontains any domain indexes markedIN_PROGRESSorFAILED. -
You cannot insert into a partition if any affected index partitions are marked
UNUSABLE. -
With regard to the
ORDERBYclause of thesubqueryin theDML_table_expression_clause, ordering is guaranteed only for the rows being inserted, and only within each extent of the table. Ordering of new rows with respect to existing rows is not guaranteed. -
If a view was created using the
WITHCHECKOPTION, then you can insert into the view only rows that satisfy the defining query of the view. -
If a view was created using a single base table, then you can insert rows into the view and then retrieve those values using the
returning_clause. -
You cannot insert rows into a view except with
INSTEADOFtriggers if the defining query of the view contains one of the following constructs:- A set operator
- A
DISTINCToperator - An aggregate or analytic function
- A
GROUPBY,ORDERBY,MODEL,CONNECTBY, orSTARTWITHclause - A collection expression in a
SELECTlist - A subquery in a
SELECTlist - A subquery designated
WITH READ ONLY - Joins, with some exceptions, as documented in Oracle Database Administrator's Guide
-
If you specify an index, index partition, or index subpartition that has been marked
UNUSABLE, then theINSERTstatement will fail unless theSKIP_UNUSABLE_INDEXESsession parameter has been set toTRUE. Refer to ALTER SESSION for information on theSKIP_UNUSABLE_INDEXESsession parameter.
Specify the name or partition key value of the partition or subpartition within table, or the base table of view, targeted for inserts.
If a row to be inserted does not map into a specified partition or subpartition, then the database returns an error.
Restriction on Target Partitions and Subpartitions
This clause is not valid for object tables or object views.
See Also:
dblink
Specify a complete or partial name of a database link to a remote database where the table or view is located. You can insert rows into a remote table or view only if you are using Oracle Database distributed functionality.
If you omit dblink, then Oracle Database assumes that the table or view is on the local database.
Note:
Starting with Oracle Database 12c Release 2 (12.2), the INSERT statement accepts remote LOB locators as bind variables. Refer to the “Distributed LOBs” chapter in Oracle Database SecureFiles and Large Objects Developer's Guide for more information.
See Also:
-
"Syntax for Schema Objects and Parts in SQL Statements" and "References to Objects in Remote Databases" for information on referring to database links
subquery_restriction_clause
Use the subquery_restriction_clause to restrict the subquery in one of the following ways:
WITH READ ONLY
Specify WITH READ ONLY to indicate that the table or view cannot be updated.
WITH CHECK OPTION
Specify WITH CHECK OPTION to indicate that Oracle Database prohibits any changes to the table or view that would produce rows that are not included in the subquery. When used in the subquery of a DML statement, you can specify this clause in a subquery in the FROM clause but not in subquery in the WHERE clause.
CONSTRAINT constraint
Specify the name of the CHECK OPTION constraint. If you omit this identifier, then Oracle automatically assigns the constraint a name of the form SYS_Cn, where n is an integer that makes the constraint name unique within the database.
See Also:
table_collection_expression
The table_collection_expression lets you inform Oracle that the value of collection_expression should be treated as a table for purposes of query and DML operations. The collection_expression can be a subquery, a column, a function, or a collection constructor. Regardless of its form, it must return a collection value—that is, a value whose type is nested table or varray. This process of extracting the elements of a collection is called collection unnesting.
The optional plus (+) is relevant if you are joining the TABLE collection expression with the parent table. The + creates an outer join of the two, so that the query returns rows from the outer table even if the collection expression is null.
Note:
In earlier releases of Oracle, when collection_expression was a subquery, table_collection_expression was expressed as THE subquery. That usage is now deprecated.
See Also:
t_alias
Specify a correlation name, which is an alias for the table, view, materialized view, or subquery to be referenced elsewhere in the statement.
Restriction on Table Aliases
You cannot specify t_alias during a multitable insert.
column
Specify a column of the table, view, or materialized view. In the inserted row, each column in this list is assigned a value from the values_clause or the subquery. If you want to assign a value to an INVISIBLE column, then you must include the column in this list.
If you omit one or more of the table's columns from this list, then the column value of that column for the inserted row is the column default value as specified when the table was created or last altered. If any omitted column has a NOT NULL constraint and no default value, then the database returns an error indicating that the constraint has been violated and rolls back the INSERT statement. Refer to CREATE TABLE for more information on default column values.
If you omit the column list altogether, then the values_clause or query must specify values for all columns in the table.
values_clause
For a single-table insert operation, specify a row of values to be inserted into the table or view. You must specify a value in the values_clause for each column in the column list. If you omit the column list, then the values_clause must provide values for every column in the table.
For a multitable insert operation, each expression in the values_clause must refer to columns returned by the select list of the subquery. If you omit the values_clause, then the select list of the subquery determines the values to be inserted, so it must have the same number of columns as the column list of the corresponding insert_into_clause. If you do not specify a column list in the insert_into_clause, then the computed row must provide values for all columns in the target table.
For both types of insert operations, if you specify a column list in the insert_into_clause, then the database assigns to each column in the list a corresponding value from the values clause or the subquery. You can specify DEFAULT for any value in the values_clause. If you have specified a default value for the corresponding column of the table or view, then that value is inserted. If no default value for the corresponding column has been specified, then the database inserts null. Refer to "About SQL Expressions" and SELECT for syntax of valid expressions.
Restrictions on Inserted Values
The value are subject to the following restrictions:
-
You cannot insert a
BFILEvalue until you have initialized theBFILElocator to null or to a directory name and filename.See Also:
-
BFILENAME for information on initializing
BFILEvalues and for an example of inserting into aBFILE -
Oracle Database SecureFiles and Large Objects Developer's Guide for information on initializing
BFILElocators
-
-
When inserting into a list-partitioned table, you cannot insert a value into the partitioning key column that does not already exist in the
partition_key_valuelist of one of the partitions. -
You cannot specify
DEFAULTwhen inserting into a view. -
If you insert string literals into a
RAWcolumn, then during subsequent queries Oracle Database will perform a full table scan rather than using any index that might exist on theRAWcolumn.See Also:
-
"Using XML in SQL Statements" for information on inserting values into an XMLType table
-
"Inserting into a Substitutable Tables and Columns: Examples", "Inserting Using the TO_LOB Function: Example", "Inserting Sequence Values: Example", and "Inserting Using Bind Variables: Example"
-
returning_clause
The returning clause retrieves the rows affected by a DML statement. You can specify this clause for tables and materialized views and for views with a single base table.
When operating on a single row, a DML statement with a returning_clause can retrieve column expressions using the affected row, rowid, and REFs to the affected row and store them in host variables or PL/SQL variables.
When operating on multiple rows, a DML statement with the returning_clause stores values from expressions, rowids, and REFs involving the affected rows in bind arrays.
expr
Each item in the expr list must be a valid expression syntax.
INTO
The INTO clause indicates that the values of the changed rows are to be stored in the variable(s) specified in data_item list.
data_item
Each data_item is a host variable or PL/SQL variable that stores the retrieved expr value.
For each expression in the RETURNING list, you must specify a corresponding type-compatible PL/SQL variable or host variable in the INTO list.
Restrictions
The following restrictions apply to the RETURNING clause:
-
The
expris restricted as follows:-
For
UPDATEandDELETEstatements eachexprmust be a simple expression or a single-set aggregate function expression. You cannot combine simple expressions and single-set aggregate function expressions in the samereturning_clause. ForINSERTstatements, eachexprmust be a simple expression. Aggregate functions are not supported in anINSERTstatementRETURNINGclause. -
Single-set aggregate function expressions cannot include the
DISTINCTkeyword.
-
-
If the
exprlist contains a primary key column or otherNOTNULLcolumn, then the update statement fails if the table has aBEFOREUPDATEtrigger defined on it. -
You cannot specify the
returning_clausefor a multitable insert. -
You cannot use this clause with parallel DML or with remote objects.
-
You cannot retrieve
LONGtypes with this clause. -
You cannot specify this clause for a view on which an
INSTEADOFtrigger has been defined.
See Also:
Oracle Database PL/SQL Language Reference for information on using the BULK COLLECT clause to return multiple values to collection variables
multi_table_insert
In a multitable insert, you insert computed rows derived from the rows returned from the evaluation of a subquery into one or more tables.
Table aliases are not defined by the select list of the subquery. Therefore, they are not visible in the clauses dependent on the select list. For example, this can happen when trying to refer to an object column in an expression. To use an expression with a table alias, you must put the expression into the select list with a column alias, and then refer to the column alias in the VALUES clause or WHEN condition of the multitable insert.
ALL into_clause
Specify ALL followed by multiple insert_into_clauses to perform an unconditional multitable insert. Oracle Database executes each insert_into_clause once for each row returned by the subquery.
conditional_insert_clause
Specify the conditional_insert_clause to perform a conditional multitable insert. Oracle Database filters each insert_into_clause through the corresponding WHEN condition, which determines whether that insert_into_clause is executed. Each expression in the WHEN condition must refer to columns returned by the select list of the subquery. A single multitable insert statement can contain up to 127 WHEN clauses.
ALL
If you specify ALL, the default value, then the database evaluates each WHEN clause regardless of the results of the evaluation of any other WHEN clause. For each WHEN clause whose condition evaluates to true, the database executes the corresponding INTO clause list.
FIRST
If you specify FIRST, then the database evaluates each WHEN clause in the order in which it appears in the statement. For the first WHEN clause that evaluates to true, the database executes the corresponding INTO clause and skips subsequent WHEN clauses for the given row.
ELSE clause
For a given row, if no WHEN clause evaluates to true, then:
-
If you have specified an
ELSEclause, then the database executes theINTOclause list associated with theELSEclause. -
If you did not specify an else clause, then the database takes no action for that row.
See Also:
Restrictions on Multitable Inserts
Multitable inserts are subject to the following restrictions:
-
You can perform multitable inserts only on tables, not on views or materialized views.
-
You cannot perform a multitable insert into a remote table.
-
You cannot specify a
TABLEcollection expression when performing a multitable insert. -
Multitable inserts are not parallelized if any target table is index organized or if any target table has a bitmap index defined on it.
-
Plan stability is not supported for multitable insert statements.
-
You cannot specify a sequence in any part of a multitable insert statement. A multitable insert is considered a single SQL statement. Therefore, the first reference to
NEXTVALgenerates the next number, and all subsequent references in the statement return the same number.
subquery
Specify a subquery that returns rows that are inserted into the table. The subquery can refer to any table, view, or materialized view, including the target tables of the INSERT statement. If the subquery selects no rows, then the database inserts no rows into the table.
You can use subquery in combination with the TO_LOB function to convert the values in a LONG column to LOB values in another column in the same or another table.
-
To migrate
LONGvalues to LOB values in another column in a view, you must perform the migration on the base table and then add the LOB column to the view. -
To migrate
LONGvalues on a remote table to LOB values in a local table, you must perform the migration on the remote table using theTO_LOBfunction, and then perform anINSERT...subqueryoperation to copy the LOB values from the remote table into the local table.
Notes on Inserting with a Subquery
The following notes apply when inserting with a subquery:
-
If
subqueryreturns the partial or total equivalent of a materialized view, then the database may use the materialized view for query rewrite in place of one or more tables specified insubquery.See Also:
Oracle Database Data Warehousing Guide for more information on materialized views and query rewrite
-
If
subqueryrefers to remote objects, then theINSERToperation can run in parallel as long as the reference does not loop back to an object on the local database. However, if thesubqueryin theDML_table_expression_clauserefers to any remote objects, then theINSERToperation will run serially without notification. See parallel_clause for more information. -
If
subqueryincludes anORDERBYclause, then it will override row ordering specified using attribute clustering table properties.
See Also:
-
BFILENAME for an example of inserting into a
BFILE -
Oracle Database SecureFiles and Large Objects Developer's Guide for information on initializing
BFILEs -
"About SQL Expressions" and SELECT for syntax of valid expressions
error_logging_clause
The error_logging_clause lets you capture DML errors and the log column values of the affected rows and save them in an error logging table.
INTO table
Specify the name of the error logging table. If you omit this clause, then the database assigns the default name generated by the DBMS_ERRLOG package. The default error log table name is ERR$_ followed by the first 25 characters of the name of the table upon which the DML operation is being executed.
simple_expression
Specify the value to be used as a statement tag, so that you can identify the errors from this statement in the error logging table. The expression can be either a text literal, a number literal, or a general SQL expression such as a bind variable. You can also use a function expression if you convert it to a text literal — for example, TO_CHAR(SYSDATE).
REJECT LIMIT
This clause lets you specify an integer as an upper limit for the number of errors to be logged before the statement terminates and rolls back any changes made by the statement. The default rejection limit is zero. For parallel DML operations, the reject limit is applied to each parallel server.
Restrictions on DML Error Logging
-
The following conditions cause the statement to fail and roll back without invoking the error logging capability:
-
Violated deferred constraints.
-
Any direct-path
INSERTorMERGEoperation that raises a unique constraint or index violation. -
Any update operation
UPDATEorMERGEthat raises a unique constraint or index violation.
-
-
You cannot track errors in the error logging table for
LONG, LOB, or object type columns. However, the table that is the target of the DML operation can contain these types of columns.-
If you create or modify the corresponding error logging table so that it contains a column of an unsupported type, and if the name of that column corresponds to an unsupported column in the target DML table, then the DML statement fails at parse time.
-
If the error logging table does not contain any unsupported column types, then all DML errors are logged until the reject limit of errors is reached. For rows on which errors occur, column values with corresponding columns in the error logging table are logged along with the control information.
-
See Also:
-
Oracle Database PL/SQL Packages and Types Reference for information on using the
create_error_logprocedure of theDBMS_ERRLOGpackage and Oracle Database Administrator's Guide for general information on DML error logging.
Examples
Inserting Values into Tables: Examples
The following statement inserts a row into the sample table departments:
INSERT INTO departments VALUES (280, 'Recreation', 121, 1700);
If the departments table had been created with a default value of 121 for the manager_id column, then you could issue the same statement as follows:
INSERT INTO departments VALUES (280, 'Recreation', DEFAULT, 1700);
The following statement inserts a row with six columns into the employees table. One of these columns is assigned NULL and another is assigned a number in scientific notation:
INSERT INTO employees (employee_id, last_name, email,
hire_date, job_id, salary, commission_pct)
VALUES (207, 'Gregory', 'pgregory@example.com',
sysdate, 'PU_CLERK', 1.2E3, NULL);
The following statement has the same effect as the preceding example, but uses a subquery in the DML_table_expression_clause:
INSERT INTO
(SELECT employee_id, last_name, email, hire_date, job_id,
salary, commission_pct FROM employees)
VALUES (207, 'Gregory', 'pgregory@example.com',
sysdate, 'PU_CLERK', 1.2E3, NULL);Inserting Values with a Subquery: Example
The following statement copies employees whose commission exceeds 25% of their salary into the bonuses table, which was created in "Merging into a Table: Example":
INSERT INTO bonuses SELECT employee_id, salary*1.1 FROM employees WHERE commission_pct > 0.25;
Inserting Into a Table with Error Logging: Example
The following statements create a raises table in the sample schema hr, create an error logging table using the DBMS_ERRLOG package, and populate the raises table with data from the employees table. One of the inserts violates the check constraint on raises, and that row can be seen in errlog. If more than ten errors had occurred, then the statement would have aborted, rolling back any insertions made:
CREATE TABLE raises (emp_id NUMBER, sal NUMBER
CONSTRAINT check_sal CHECK(sal > 8000));
EXECUTE DBMS_ERRLOG.CREATE_ERROR_LOG('raises', 'errlog');
INSERT INTO raises
SELECT employee_id, salary*1.1 FROM employees
WHERE commission_pct > .2
LOG ERRORS INTO errlog ('my_bad') REJECT LIMIT 10;
SELECT ORA_ERR_MESG$, ORA_ERR_TAG$, emp_id, sal FROM errlog;
ORA_ERR_MESG$ ORA_ERR_TAG$ EMP_ID SAL
--------------------------- -------------------- ------ -------
ORA-02290: check constraint my_bad 161 7700
(HR.SYS_C004266) violatedInserting into a Remote Database: Example
The following statement inserts a row into the employees table owned by the user hr on the database accessible by the database link remote:
INSERT INTO employees@remote
VALUES (8002, 'Juan', 'Fernandez', 'juanf@example.com', NULL,
TO_DATE('04-OCT-1992', 'DD-MON-YYYY'), 'SH_CLERK', 3000,
NULL, 121, 20); Inserting Sequence Values: Example
The following statement inserts a new row containing the next value of the departments_seq sequence into the departments table:
INSERT INTO departments VALUES (departments_seq.nextval, 'Entertainment', 162, 1400);
Inserting Using Bind Variables: Example
The following example returns the values of the inserted rows into output bind variables :bnd1 and :bnd2. The bind variables must first be declared.
INSERT INTO employees
(employee_id, last_name, email, hire_date, job_id, salary)
VALUES
(employees_seq.nextval, 'Doe', 'john.doe@example.com',
SYSDATE, 'SH_CLERK', 2400)
RETURNING salary*12, job_id INTO :bnd1, :bnd2;Inserting into a Substitutable Tables and Columns: Examples
The following example inserts into the persons table, which is created in "Substitutable Table and Column Examples". The first statement uses the root type person_t. The second insert uses the employee_t subtype of person_t, and the third insert uses the part_time_emp_t subtype of employee_t:
INSERT INTO persons VALUES (person_t('Bob', 1234));
INSERT INTO persons VALUES (employee_t('Joe', 32456, 12, 100000));
INSERT INTO persons VALUES (
part_time_emp_t('Tim', 5678, 13, 1000, 20));
The following example inserts into the books table, which was created in "Substitutable Table and Column Examples". Notice that specification of the attribute values is identical to that for the substitutable table example:
INSERT INTO books VALUES (
'An Autobiography', person_t('Bob', 1234));
INSERT INTO books VALUES (
'Business Rules', employee_t('Joe', 3456, 12, 10000));
INSERT INTO books VALUES (
'Mixing School and Work',
part_time_emp_t('Tim', 5678, 13, 1000, 20));
You can extract data from substitutable tables and columns using built-in functions and conditions. For examples, see the functions TREAT and SYS_TYPEID, and "IS OF type Condition".
Inserting Using the TO_LOB Function: Example
The following example copies LONG data to a LOB column in the following long_tab table:
CREATE TABLE long_tab (pic_id NUMBER, long_pics LONG RAW);
First you must create a table with a LOB.
CREATE TABLE lob_tab (pic_id NUMBER, lob_pics BLOB);
Next, use an INSERT ... SELECT statement to copy the data in all rows for the LONG column into the newly created LOB column:
INSERT INTO lob_tab SELECT pic_id, TO_LOB(long_pics) FROM long_tab;
When you are confident that the migration has been successful, you can drop the long_pics table. Alternatively, if the table contains other columns, then you can simply drop the LONG column from the table as follows:
ALTER TABLE long_tab DROP COLUMN long_pics;
The following example uses the multitable insert syntax to insert into the sample table sh.sales some data from an input table with a different structure.
Note:
A number of NOT NULL constraints on the sales table have been disabled for purposes of this example, because the example ignores a number of table columns for the sake of brevity.
The input table looks like this:
SELECT * FROM sales_input_table;
PRODUCT_ID CUSTOMER_ID WEEKLY_ST SALES_SUN SALES_MON SALES_TUE SALES_WED SALES_THU SALES_FRI SALES_SAT
---------- ----------- --------- ---------- ---------- ---------- -------------------- ---------- ----------
111 222 01-OCT-00 100 200 300 400 500 600 700
222 333 08-OCT-00 200 300 400 500 600 700 800
333 444 15-OCT-00 300 400 500 600 700 800 900The multitable insert statement looks like this:
INSERT ALL
INTO sales (prod_id, cust_id, time_id, amount)
VALUES (product_id, customer_id, weekly_start_date, sales_sun)
INTO sales (prod_id, cust_id, time_id, amount)
VALUES (product_id, customer_id, weekly_start_date+1, sales_mon)
INTO sales (prod_id, cust_id, time_id, amount)
VALUES (product_id, customer_id, weekly_start_date+2, sales_tue)
INTO sales (prod_id, cust_id, time_id, amount)
VALUES (product_id, customer_id, weekly_start_date+3, sales_wed)
INTO sales (prod_id, cust_id, time_id, amount)
VALUES (product_id, customer_id, weekly_start_date+4, sales_thu)
INTO sales (prod_id, cust_id, time_id, amount)
VALUES (product_id, customer_id, weekly_start_date+5, sales_fri)
INTO sales (prod_id, cust_id, time_id, amount)
VALUES (product_id, customer_id, weekly_start_date+6, sales_sat)
SELECT product_id, customer_id, weekly_start_date, sales_sun,
sales_mon, sales_tue, sales_wed, sales_thu, sales_fri, sales_sat
FROM sales_input_table;
Assuming these are the only rows in the sales table, the contents now look like this:
SELECT * FROM sales
ORDER BY prod_id, cust_id, time_id;
PROD_ID CUST_ID TIME_ID C PROMO_ID QUANTITY_SOLD AMOUNT COST
---------- ---------- --------- - ---------- ------------- ---------- ----------
111 222 01-OCT-00 100
111 222 02-OCT-00 200
111 222 03-OCT-00 300
111 222 04-OCT-00 400
111 222 05-OCT-00 500
111 222 06-OCT-00 600
111 222 07-OCT-00 700
222 333 08-OCT-00 200
222 333 09-OCT-00 300
222 333 10-OCT-00 400
222 333 11-OCT-00 500
222 333 12-OCT-00 600
222 333 13-OCT-00 700
222 333 14-OCT-00 800
333 444 15-OCT-00 300
333 444 16-OCT-00 400
333 444 17-OCT-00 500
333 444 18-OCT-00 600
333 444 19-OCT-00 700
333 444 20-OCT-00 800
333 444 21-OCT-00 900
The next examples insert into multiple tables. Suppose you want to provide to sales representatives some information on orders of various sizes. The following example creates tables for small, medium, large, and special orders and populates those tables with data from the sample table oe.orders:
CREATE TABLE small_orders
(order_id NUMBER(12) NOT NULL,
customer_id NUMBER(6) NOT NULL,
order_total NUMBER(8,2),
sales_rep_id NUMBER(6)
);
CREATE TABLE medium_orders AS SELECT * FROM small_orders;
CREATE TABLE large_orders AS SELECT * FROM small_orders;
CREATE TABLE special_orders
(order_id NUMBER(12) NOT NULL,
customer_id NUMBER(6) NOT NULL,
order_total NUMBER(8,2),
sales_rep_id NUMBER(6),
credit_limit NUMBER(9,2),
cust_email VARCHAR2(40)
);
The first multitable insert populates only the tables for small, medium, and large orders:
INSERT ALL
WHEN order_total <= 100000 THEN
INTO small_orders
WHEN order_total > 1000000 AND order_total <= 200000 THEN
INTO medium_orders
WHEN order_total > 200000 THEN
INTO large_orders
SELECT order_id, order_total, sales_rep_id, customer_id
FROM orders;
You can accomplish the same thing using the ELSE clause in place of the insert into the large_orders table:
INSERT ALL
WHEN order_total <= 100000 THEN
INTO small_orders
WHEN order_total > 100000 AND order_total <= 200000 THEN
INTO medium_orders
ELSE
INTO large_orders
SELECT order_id, order_total, sales_rep_id, customer_id
FROM orders;
The next example inserts into the small, medium, and large tables, as in the preceding example, and also puts orders greater than 290,000 into the special_orders table. This table also shows how to use column aliases to simplify the statement:
INSERT ALL
WHEN ottl <= 100000 THEN
INTO small_orders
VALUES(oid, ottl, sid, cid)
WHEN ottl > 100000 and ottl <= 200000 THEN
INTO medium_orders
VALUES(oid, ottl, sid, cid)
WHEN ottl > 200000 THEN
into large_orders
VALUES(oid, ottl, sid, cid)
WHEN ottl > 290000 THEN
INTO special_orders
SELECT o.order_id oid, o.customer_id cid, o.order_total ottl,
o.sales_rep_id sid, c.credit_limit cl, c.cust_email cem
FROM orders o, customers c
WHERE o.customer_id = c.customer_id;
Finally, the next example uses the FIRST clause to put orders greater than 290,000 into the special_orders table and exclude those orders from the large_orders table:
INSERT FIRST
WHEN ottl <= 100000 THEN
INTO small_orders
VALUES(oid, ottl, sid, cid)
WHEN ottl > 100000 and ottl <= 200000 THEN
INTO medium_orders
VALUES(oid, ottl, sid, cid)
WHEN ottl > 290000 THEN
INTO special_orders
WHEN ottl > 200000 THEN
INTO large_orders
VALUES(oid, ottl, sid, cid)
SELECT o.order_id oid, o.customer_id cid, o.order_total ottl,
o.sales_rep_id sid, c.credit_limit cl, c.cust_email cem
FROM orders o, customers c
WHERE o.customer_id = c.customer_id;Inserting Multiple Rows Using a Single Statement: Example
The following statements create three tables named people, patients and staff:
CREATE TABLE people ( person_id INTEGER NOT NULL PRIMARY KEY, given_name VARCHAR2(100) NOT NULL, family_name VARCHAR2(100) NOT NULL, title VARCHAR2(20), birth_date DATE ); CREATE TABLE patients ( patient_id INTEGER NOT NULL PRIMARY KEY REFERENCES people (person_id), last_admission_date DATE ); CREATE TABLE staff ( staff_id INTEGER NOT NULL PRIMARY KEY REFERENCES people (person_id), hired_date DATE );
The following statement inserts a row into the people table:
INSERT INTO people VALUES (1, 'Dave', 'Badger', 'Mr', date'1960-05-01');
The following statement returns an error as there is no value provided for the birth_date column:
INSERT INTO people VALUES (2, 'Simon', 'Fox', 'Mr');
The following statement inserts a row into the people table:
INSERT INTO people (person_id, given_name, family_name, title) VALUES (2, 'Simon', 'Fox', 'Mr');
The following statement inserts a row into the people table and the value for the title column is populated by selecting a static value from the dual table:
INSERT INTO people (person_id, given_name, family_name, title) VALUES (3, 'Dave', 'Frog', (SELECT 'Mr' FROM dual));
The following statement inserts multiple rows into the people stable using ‘SELECT’ statement:
INSERT INTO people (person_id, given_name, family_name, title)
WITH names AS (
SELECT 4, 'Ruth', 'Fox', 'Mrs' FROM dual UNION ALL
SELECT 5, 'Isabelle', 'Squirrel', 'Miss' FROM dual UNION ALL
SELECT 6, 'Justin', 'Frog', 'Master' FROM dual UNION ALL
SELECT 7, 'Lisa', 'Owl', 'Dr' FROM dual
)
SELECT * FROM names;The following statement rolls back all the previous DML operations:
ROLLBACK;
The following statement inserts multiple rows into the people table using ‘SELECT’ statement with a ‘WHERE’ condition:
INSERT INTO people (person_id, given_name, family_name, title)
WITH names AS (
SELECT 4, 'Ruth', 'Fox' family_name, 'Mrs' FROM dual UNION ALL
SELECT 5, 'Isabelle', 'Squirrel' family_name, 'Miss' FROM dual UNION ALL
SELECT 6, 'Justin', 'Frog' family_name, 'Master' FROM dual UNION ALL
SELECT 7, 'Lisa', 'Owl' family_name, 'Dr' FROM dual
)
SELECT * FROM names
WHERE family_name LIKE 'F%';The following statement rolls back all the previous DML operations:
ROLLBACK;
The following statement inserts multiple rows into people, patients and staff table using ‘INSERT ALL’ statement:
INSERT ALL
/* Every one is a person */
INTO people (person_id, given_name, family_name, title)
VALUES (id, given_name, family_name, title)
INTO patients (patient_id, last_admission_date)
VALUES (id, admission_date)
INTO staff (staff_id, hired_date)
VALUES (id, hired_date)
WITH names AS (
SELECT 4 id, 'Ruth' given_name, 'Fox' family_name, 'Mrs' title,
NULL hired_date, DATE'2009-12-31' admission_date
FROM dual UNION ALL
SELECT 5 id, 'Isabelle' given_name, 'Squirrel' family_name, 'Miss' title ,
NULL hired_date, DATE'2014-01-01' admission_date
FROM dual UNION ALL
SELECT 6 id, 'Justin' given_name, 'Frog' family_name, 'Master' title,
NULL hired_date, DATE'2015-04-22' admission_date
FROM dual UNION ALL
SELECT 7 id, 'Lisa' given_name, 'Owl' family_name, 'Dr' title,
DATE'2015-01-01' hired_date, NULL admission_date
FROM dual
)
SELECT * FROM names;The following statement rolls back all the previous DML operations:
ROLLBACK;
The following statement inserts multiple rows into people, patients and staff table using ‘INSERT ALL’ statement with various conditions:
INSERT ALL
/* Everyone is a person, so insert all rows into people */
WHEN 1=1 THEN
INTO people (person_id, given_name, family_name, title)
VALUES (id, given_name, family_name, title)
/* Only people with an admission date are patients */
WHEN admission_date IS NOT NULL THEN
INTO patients (patient_id, last_admission_date)
VALUES (id, admission_date)
/* Only people with a hired date are staff */
WHEN hired_date IS NOT NULL THEN
INTO staff (staff_id, hired_date)
VALUES (id, hired_date)
WITH names AS (
SELECT 4 id, 'Ruth' given_name, 'Fox' family_name, 'Mrs' title,
NULL hired_date, DATE'2009-12-31' admission_date
FROM dual UNION ALL
SELECT 5 id, 'Isabelle' given_name, 'Squirrel' family_name, 'Miss' title ,
NULL hired_date, DATE'2014-01-01' admission_date
FROM dual UNION ALL
SELECT 6 id, 'Justin' given_name, 'Frog' family_name, 'Master' title,
NULL hired_date, DATE'2015-04-22' admission_date
FROM dual UNION ALL
SELECT 7 id, 'Lisa' given_name, 'Owl' family_name, 'Dr' title,
DATE'2015-01-01' hired_date, NULL admission_date
FROM dual
)
SELECT * FROM names;Live SQL:
View and run a related example on Oracle Live SQL at Inserting Multiple Rows Using a Single Statement











