CREATE DATABASE
Note:
This statement prepares a database for initial use and erases any data currently in the specified files. Use this statement only when you understand its ramifications.
Note:
In this release of Oracle Database and in subsequent releases, several enhancements are being made to ensure the security of default database user accounts. You can find a security checklist for this release in Oracle Database Security Guide. Oracle recommends that you read this checklist and configure your database accordingly.
Purpose
Use the CREATE DATABASE statement to create a database, making it available for general use.
This statement erases all data in any specified data files that already exist in order to prepare them for initial database use. If you use the statement on an existing database, then all data in the data files is lost.
After creating the database, this statement mounts it in either exclusive or parallel mode, depending on the value of the CLUSTER_DATABASE initialization parameter and opens it, making it available for normal use. You can then create tablespaces for the database.
See Also:
-
ALTER DATABASE for information on modifying a database
-
Oracle Database Java Developer's Guide for information on creating an Oracle Java virtual machine
-
CREATE TABLESPACE for information on creating tablespaces
Prerequisites
To create a database, you must have the SYSDBA system privilege. An initialization parameter file with the name of the database to be created must be available, and you must be in STARTUP NOMOUNT mode.
Syntax
create_database::=
(database_logging_clauses::=, tablespace_clauses::=, set_time_zone_clause::=, datafile_tempfile_spec::=, enable_pluggable_database::=)
database_logging_clauses::=
tablespace_clauses::=
(file_specification::=, default_tablespace::=, default_temp_tablespace::=, undo_tablespace::=, undo_tablespace::=)
default_tablespace::=
enable_pluggable_database::=
file_name_convert::=
tablespace_datafile_clauses::=
undo_mode_clause::=
Semantics
database
Specify the name of the database to be created. The name must match the value of the DB_NAME initialization parameter. The name can be up to 8 bytes long and can contain only ASCII characters. The following characters are valid in a database name: alphanumeric characters, underscore (_), number sign (#), and dollar sign ($). No other characters are valid. The database name must start with an alphabetic character. Oracle Database writes this name into the control file. If you subsequently issue an ALTER DATABASE statement that explicitly specifies a database name, then Oracle Database verifies that name with the name in the control file.
The database name is case insensitive and is stored in uppercase ASCII characters. If you specify the database name as a quoted identifier, then the quotation marks are silently ignored.
Note:
You cannot use special characters from European or Asian character sets in a database name. For example, characters with umlauts are not allowed.
If you omit the database name from a CREATE DATABASE statement, then Oracle Database uses the name specified by the initialization parameter DB_NAME. The DB_NAME initialization parameter must be set in the database initialization parameter file, and if you specify a different name from the value of that parameter, then the database returns an error. Refer to "Database Object Naming Rules" for additional rules to which database names should adhere.
USER SYS ..., USER SYSTEM ...
Use these clauses to establish passwords for the SYS and SYSTEM users. These clauses are not mandatory in this release. However, if you specify either clause, then you must specify both clauses.
If you do not specify these clauses, then Oracle Database creates default passwords change_on_install for user SYS and manager for user SYSTEM. You can subsequently change these passwords using the ALTER USER statement. You can also use ALTER USER to add password management attributes after database creation.
See Also:
CONTROLFILE REUSE Clause
Specify CONTROLFILE REUSE to reuse existing control files identified by the initialization parameter CONTROL_FILES, overwriting any information they currently contain. Normally you use this clause only when you are re-creating a database, rather than creating one for the first time. When you create a database for the first time, Oracle Database creates a control file in the default destination, which is dependent on the value or several initialization parameters. See CREATE CONTROLFILE, "Semantics".
You cannot use this clause if you also specify a parameter value that requires that the control file be larger than the existing files. These parameters are MAXLOGFILES, MAXLOGMEMBERS, MAXLOGHISTORY, MAXDATAFILES, and MAXINSTANCES.
If you omit this clause and any of the files specified by CONTROL_FILES already exist, then the database returns an error.
MAXDATAFILES Clause
Specify the initial sizing of the data files section of the control file at CREATE DATABASE or CREATE CONTROLFILE time. An attempt to add a file whose number is greater than MAXDATAFILES, but less than or equal to DB_FILES, causes the Oracle Database control file to expand automatically so that the data files section can accommodate more files.
The number of data files accessible to your instance is also limited by the initialization parameter DB_FILES.
MAXINSTANCES Clause
Specify the maximum number of instances that can simultaneously have this database mounted and open. This value takes precedence over the value of initialization parameter INSTANCES. The minimum value is 1. The maximum value is 1055. The default depends on your operating system.
CHARACTER SET Clause
Specify the character set the database uses to store data. The supported character sets and default value of this parameter depend on your operating system.
Restriction on CHARACTER SET
You cannot specify the AL16UTF16 character set as the database character set.
See Also:
Oracle Database Globalization Support Guide for more information about choosing a character set
NATIONAL CHARACTER SET Clause
Specify the national character set used to store data in columns specifically defined as NCHAR, NCLOB, or NVARCHAR2. Valid values are AL16UTF16 and UTF8. The default is AL16UTF16.
See Also:
Oracle Database Globalization Support Guide for information on Unicode data type support
SET DEFAULT TABLESPACE Clause
Use this clause to determine the default type of subsequently created tablespaces and of the SYSTEM and SYSAUX tablespaces. Specify either BIGFILE or SMALLFILE to set the default type of subsequently created tablespaces as a bigfile or smallfile tablespace, respectively.
-
A bigfile tablespace contains only one data file or temp file, which can contain up to approximately 4 billion (232) blocks. The maximum size of the single data file or temp file is 128 terabytes (TB) for a tablespace with 32K blocks and 32TB for a tablespace with 8K blocks.
-
A smallfile tablespace is a traditional Oracle tablespace, which can contain 1022 data files or temp files, each of which can contain up to approximately 4 million (222) blocks.
If you omit this clause, then Oracle Database creates smallfile tablespaces by default.
See Also:
-
Oracle Database Administrator's Guide for more information about bigfile tablespaces
-
"Setting the Default Type of Tablespaces: Example" for an example using this syntax
database_logging_clauses
Use the database_logging_clauses to determine how Oracle Database will handle redo log files for this database.
Specify one or more files to be used as redo log files. Use the redo_log_file_spec form of file_specification to create regular redo log files in an operating system file system or to create Oracle ASM disk group redo log files. When using a form of ASM_filename, you cannot specify the autoextend_clause of redo_log_file_spec.
The redo_log_file_spec clause specifies a redo log file group containing one or more redo log file members (copies). All redo log files specified in a CREATE DATABASE statement are added to redo log thread number 1.
See Also:
file_specification for a full description of this clause
If you omit the LOGFILE clause, then Oracle Database creates an Oracle-managed log file member in the default destination, which is one of the following locations (in order of precedence):
-
If
DB_CREATE_ONLINE_LOG_DEST_nis set, then the database creates a log file member in each directory specified, up to the value of theMAXLOGMEMBERSinitialization parameter. -
If the
DB_CREATE_ONLINE_LOG_DEST_nparameter is not set, but both theDB_CREATE_FILE_DESTandDB_RECOVERY_FILE_DESTinitialization parameters are set, then the database creates one Oracle-managed log file member in each of those locations. The log file in theDB_CREATE_FILE_DESTdestination is the first member. -
If only the
DB_CREATE_FILE_DESTinitialization parameter is specified, then Oracle Database creates a log file member in that location. -
If only the
DB_RECOVERY_FILE_DESTinitialization parameter is specified, then Oracle Database creates a log file member in that location.
In all these cases, the parameter settings must correctly specify operating system filenames or creation form Oracle ASM filenames, as appropriate.
If no values are set for any of these parameters, then the database creates a log file in the default location for the operating system on which the database is running. This log file is not an Oracle Managed File.
GROUP integer
Specify the number that identifies the redo log file group. The value of integer can range from 1 to the value of the MAXLOGFILES parameter. A database must have at least two redo log file groups. You cannot specify multiple redo log file groups having the same GROUP value. If you omit this parameter, then Oracle Database generates its value automatically. You can examine the GROUP value for a redo log file group through the dynamic performance view V$LOG.
Specify the maximum number of redo log file groups that can ever be created for the database. Oracle Database uses this value to determine how much space to allocate in the control file for the names of redo log files. The default, minimum, and maximum values depend on your operating system.
Specify the maximum number of members, or copies, for a redo log file group. Oracle Database uses this value to determine how much space to allocate in the control file for the names of redo log files. The minimum value is 1. The maximum and default values depend on your operating system.
This parameter is useful only if you are using Oracle Database in ARCHIVELOG mode with Oracle Real Application Clusters (Oracle RAC). Specify the maximum number of archived redo log files for automatic media recovery of Oracle RAC. The database uses this value to determine how much space to allocate in the control file for the names of archived redo log files. The minimum value is 0. The default value is a multiple of the MAXINSTANCES value and depends on your operating system. The maximum value is limited only by the maximum size of the control file.
Specify ARCHIVELOG if you want the contents of a redo log file group to be archived before the group can be reused. This clause prepares for the possibility of media recovery.
Specify NOARCHIVELOG if the contents of a redo log file group need not be archived before the group can be reused. This clause does not allow for the possibility of media recovery.
The default is NOARCHIVELOG mode. After creating the database, you can change between ARCHIVELOG mode and NOARCHIVELOG mode with the ALTER DATABASE statement.
Use this clause to put the database into FORCE LOGGING mode. Oracle Database will log all changes in the database except for changes in temporary tablespaces and temporary segments. This setting takes precedence over and is independent of any NOLOGGING or FORCE LOGGING settings you specify for individual tablespaces and any NOLOGGING settings you specify for individual database objects.
FORCE LOGGING mode is persistent across instances of the database. If you shut down and restart the database, then the database is still in FORCE LOGGING mode. However, if you re-create the control file, then Oracle Database will take the database out of FORCE LOGGING mode unless you specify FORCE LOGGING in the CREATE CONTROLFILE statement.
Note:
FORCE LOGGING mode can have performance effects. Refer to Oracle Database Administrator's Guide for information on when to use this setting.
See Also:
SET STANDBY NOLOGGING FOR DATA AVAILABILITY | LOAD PERFORMANCE
The SET STANDBY NOLOGGING disables logging on the standby. You can specify it in two modes:
-
SET STANDBY NOLOGGING FOR DATA AVAILABILITY guarantees full data replication to the standby database. The primary and standby databases are synchronized during the load. In cases of network congestion the primary database will throttle its load.
-
SET STANDBY NOLOGGING FOR LOAD PERFORMANCE to maintain speed of primary database load and synchronize with the standby later.
Restrictions SET STANDBY NOLOGGING
TheSET STANDBY NOLOGGING clause cannot be used at the same time as FORCE LOGGING.
tablespace_clauses
Use the tablespace clauses to configure the SYSTEM and SYSAUX tablespaces and to specify a default temporary tablespace and an undo tablespace.
extent_management_clause
Use this clause to create a locally managed SYSTEM tablespace. If you omit this clause, then the SYSTEM tablespace will be dictionary managed.
Note:
When you create a locally managed SYSTEM tablespace, you cannot change it to be dictionary managed, nor can you create any other dictionary-managed tablespaces in this database.
If you specify this clause, then the database must have a default temporary tablespace, because a locally managed SYSTEM tablespace cannot store temporary segments.
-
If you specify
EXTENTMANAGEMENTLOCALbut you do not specify theDATAFILEclause, then you can omit thedefault_temp_tablespaceclause. Oracle Database will create a default temporary tablespace calledTEMPwith one data file of size 10M with autoextend disabled. -
If you specify both
EXTENTMANAGEMENTLOCALand theDATAFILEclause, then you must also specify thedefault_temp_tablespaceclause and explicitly specify a temp file for that temporary tablespace.
If you have opened the instance in automatic undo mode, similar requirements exist for the database undo tablespace:
-
If you specify
EXTENTMANAGEMENTLOCALbut you do not specify theDATAFILEclause, then you can omit theundo_tablespaceclause. Oracle Database will create an undo tablespace namedSYS_UNDOTBS. -
If you specify both
EXTENTMANAGEMENTLOCALand theDATAFILEclause, then you must also specify theundo_tablespaceclause and explicitly specify a data file for that tablespace.See Also:
Oracle Database Administrator's Guide for more information on locally managed and dictionary-managed tablespaces
DATAFILE Clause
Specify one or more files to be used as data files. All these files become part of the SYSTEM tablespace. Use the data file_tempfile_spec form of file_specification to create regular data files and temp files in an operating system file system or to create Oracle ASM disk group files.
Note:
This clause is optional, as is the DATAFILE clause of the undo_tablespace clause. Therefore, to avoid ambiguity, if your intention is to specify a data file for the SYSTEM tablespace with this clause, then do not specify it immediately after an undo_tablespace clause that does not include the optional DATAFILE clause. If you do so, then Oracle Database will interpret the DATAFILE clause to be part of the undo_tablespace clause.
The syntax for specifying data files for the SYSTEM tablespace is the same as that for specifying data files during tablespace creation using the CREATE TABLESPACE statement, whether you are storing files using Oracle ASM or in a file system.
See Also:
CREATE TABLESPACE for information on specifying data files
If you are running the database in automatic undo mode and you specify a data file name for the SYSTEM tablespace, then Oracle Database expects to generate data files for all tablespaces. Oracle Database does this automatically if you are using Oracle Managed Files—you have set a value for the DB_CREATE_FILE_DEST initialization parameter. However, if you are not using Oracle Managed Files and you specify this clause, then you must also specify the undo_tablespace clause and the default_temp_tablespace clause.
If you omit this clause, then:
-
If the
DB_CREATE_FILE_DESTinitialization parameter is set, then Oracle Database creates a 100 MB Oracle-managed data file with a system-generated name in the default file destination specified in the parameter. -
If the
DB_CREATE_FILE_DESTinitialization parameter is not set, then Oracle Database creates one data file whose name and size depend on your operating system.
See Also:
file_specification for syntax
SYSAUX Clause
Oracle Database creates both the SYSTEM and SYSAUX tablespaces as part of every database. Use this clause if you are not using Oracle Managed Files and you want to specify one or more data files for the SYSAUX tablespace.
You must specify this clause if you have specified one or more data files for the SYSTEM tablespace using the DATAFILE clause. If you are using Oracle Managed Files and you omit this clause, then the database creates the SYSAUX data files in the default location set up for Oracle Managed Files.
If you have enabled Oracle Managed Files and you omit the SYSAUX clause, then the database creates the SYSAUX tablespace as an online, permanent, locally managed tablespace with one data file of 100 MB, with logging enabled and automatic segment-space management.
The syntax for specifying data files for the SYSAUX tablespace is the same as that for specifying data files during tablespace creation using the CREATE TABLESPACE statement, whether you are storing files using Oracle ASM or in a file system.
See Also:
-
CREATE TABLESPACE for information on creating the
SYSAUXtablespace during database upgrade and for information on specifying data files in a tablespace -
Oracle Database Administrator's Guide for more information on creating the
SYSAUXtablespace
default_tablespace
Specify this clause to create a default permanent tablespace for the database. Oracle Database creates a smallfile tablespace and subsequently will assign to this tablespace any non-SYSTEM users for whom you do not specify a different permanent tablespace. If you do not specify this clause, then the SYSTEM tablespace is the default permanent tablespace for non-SYSTEM users.
The DATAFILE clause and extent_management_clause have the same semantics they have in a CREATE TABLESPACE statement. Refer to "DATAFILE | TEMPFILE Clause" and extent_management_clause for information on these clauses.
default_temp_tablespace
Use this clause to create a default shared temporary tablespace or a default local temporary tablespace. Oracle Database will assign to these temporary tablespaces any users for whom you do not specify different temporary tablespaces.
-
Specify
DEFAULTTEMPORARYTABLESPACEto create a default shared temporary tablespace for the database. Shared temporary tablespaces were available in prior releases of Oracle Database and were called "temporary tablespaces." Elsewhere in this guide, the term "temporary tablespace" refers to a shared temporary tablespace unless specified otherwise. If you do not specify this clause, and if the database does not create a default shared temporary tablespace automatically in the process of creating a locally managedSYSTEMtablespace, then theSYSTEMtablespace is the default shared temporary tablespace. -
Starting with Oracle Database 12c Release 2 (12.2), you can specify
DEFAULTLOCALTEMPORARYTABLESPACEto create a default local temporary tablespace. Local temporary tablespaces are useful for Oracle Real Application Clusters and Oracle Flex Clusters. They store a separate, nonshared temp file for each database instance, which can improve I/O performance. A local temporary tablespace must be aBIGFILEtablespace.-
Specify
FORALLto instruct the database to create separate, nonshared temp files for all HUB and LEAF nodes. -
Specify
FORLEAFto instruct the database to create separate nonshared temp files for only LEAF nodes. If you specify this clause, then HUB nodes will use the default shared temporary tablespace. For SQL operations that span both HUB and LEAF nodes, HUB nodes will use the default shared temporary tablespace and LEAF nodes will use the default local temporary tablespace.
If you do not create a local temporary tablespace, then HUB and LEAF nodes will use the default shared temporary tablespace.
-
Specify BIGFILE or SMALLFILE to determine whether the default temporary tablespace is a bigfile or smallfile tablespace. These clauses have the same semantics as in the "SET DEFAULT TABLESPACE Clause".
The TEMPFILE clause part of this clause is optional if you have enabled Oracle Managed Files by setting the DB_CREATE_FILE_DEST initialization parameter. If you have not specified a value for this parameter, then the TEMPFILE clause is required. If you have specified BIGFILE, then you can specify only one temp file in this clause.
The syntax for specifying temp files for the default temporary tablespace is the same as that for specifying temp files during temporary tablespace creation using the CREATE TABLESPACE statement, whether you are storing files using Oracle ASM or in a file system.
The extent_management_clause clause has the same semantics in CREATE DATABASE and CREATE TABLESPACE statements. For complete information, refer to the CREATE TABLESPACE ... extent_management_clause.
See Also:
CREATE TABLESPACE for information on specifying temp files
Note:
On some operating systems, Oracle does not allocate space for a temp file until the temp file blocks are actually accessed. This delay in space allocation results in faster creation and resizing of temp files, but it requires that sufficient disk space is available when the temp files are later used. To avoid potential problems, before you create or resize a temp file, ensure that the available disk space exceeds the size of the new temp file or the increased size of a resized temp file. The excess space should allow for anticipated increases in disk space use by unrelated operations as well. Then proceed with the creation or resizing operation.
Restrictions on Default Temporary Tablespaces
Default temporary tablespaces are subject to the following restrictions:
-
You cannot specify the
SYSTEMtablespace in this clause. -
The default temporary tablespace must have a standard block size.
undo_tablespace
If you have opened the instance in automatic undo mode (the UNDO_MANAGEMENT initialization parameter is set to AUTO, which is the default), then you can specify the undo_tablespace to create a tablespace to be used for undo data. Oracle strongly recommends that you use automatic undo mode. However, if you want undo space management to be handled by way of rollback segments, then you must omit this clause. You can also omit this clause if you have set a value for the UNDO_TABLESPACE initialization parameter. If that parameter has been set, and if you specify this clause, then tablespace must be the same as that parameter value.
-
Specify
BIGFILEif you want the undo tablespace to be a bigfile tablespace. A bigfile tablespace contains only one data file, which can be up to 8 exabytes (8 million terabytes) in size. -
Specify
SMALLFILEif you want the undo tablespace to be a smallfile tablespace. A smallfile tablespace is a traditional Oracle Database tablespace, which can contain 1022 data files or temp files, each of which can contain up to approximately 4 million (222) blocks. -
The
DATAFILEclause part of this clause is optional if you have enabled Oracle Managed Files by setting theDB_CREATE_FILE_DESTinitialization parameter. If you have not specified a value for this parameter, then theDATAFILEclause is required. If you have specifiedBIGFILE, then you can specify only one data file in this clause.
The syntax for specifying data files for the undo tablespace is the same as that for specifying data files during tablespace creation using the CREATE TABLESPACE statement, whether you are storing files using Oracle ASM or in a file system.
See Also:
CREATE TABLESPACE for information on specifying data files
If you specify this clause, then Oracle Database creates an undo tablespace named tablespace, creates the specified data file(s) as part of the undo tablespace, and assigns this tablespace as the undo tablespace of the instance. Oracle Database will manage undo data using this undo tablespace. The DATAFILE clause of this clause has the same behavior as described in "DATAFILE Clause".
If you have specified a value for the UNDO_TABLESPACE initialization parameter in your initialization parameter file before mounting the database, then you must specify the same name in this clause. If these names differ, then Oracle Database will return an error when you open the database.
If you omit this clause, then Oracle Database creates a default database with a default smallfile undo tablespace named SYS_UNDOTBS and assigns this default tablespace as the undo tablespace of the instance. This undo tablespace allocates disk space from the default files used by the CREATE DATABASE statement, and it has an initial extent of 10M. Oracle Database handles the system-generated data file as described in "DATAFILE Clause". If Oracle Database is unable to create the undo tablespace, then the entire CREATE DATABASE operation fails.
See Also:
-
Oracle Database Administrator's Guide for information on automatic undo management and undo tablespaces
-
CREATE TABLESPACE for information on creating an undo tablespace after database creation
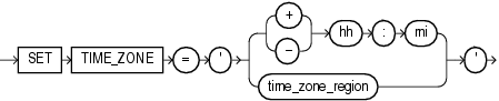
set_time_zone_clause
Use the SET TIME_ZONE clause to set the time zone of the database. You can specify the time zone in two ways:
-
By specifying a displacement from UTC (Coordinated Universal Time—formerly Greenwich Mean Time). The valid range of
hh:miis -12:00 to +14:00. -
By specifying a time zone region. To see a listing of valid time zone region names, query the
TZNAMEcolumn of theV$TIMEZONE_NAMESdynamic performance view.
Note:
Oracle recommends that you set the database time zone to UTC (0:00). Doing so can improve performance, especially across databases, as no conversion of time zones will be required.
See Also:
Oracle Database Reference for information on the dynamic performance views
Oracle Database normalizes all TIMESTAMP WITH LOCAL TIME ZONE data to the time zone of the database when the data is stored on disk. If you do not specify the SET TIME_ZONE clause, then the database uses the operating system time zone of the server. If the operating system time zone is not a valid Oracle Database time zone, then the database time zone defaults to UTC.
USER_DATA TABLESPACE Clause
This clause lets you create a tablespace that is used for storing user data and database options such as Oracle XML DB.
-
If you specify this clause when creating a multitenant container database (CDB), then the tablespace is created as part of the seed. Pluggable databases (PDBs) subsequently created using the seed will include this tablespace and its data file. The tablespace and data file specified in this clause are not used by the root.
-
If you specify this clause when creating a non-CDB, then the tablespace is created as part of the non-CDB.
Specify BIGFILE or SMALLFILE to determine whether the tablespace is a bigfile or smallfile tablespace. If you omit these clauses, then Oracle Database creates a tablespace of the type that you specify with the SET DEFAULT TABLESPACE clause. If you do not specify the SET DEFAULT TABLESPACE clause, then Oracle Database creates a smallfile tablespace. These clauses have the same semantics as in the "SET DEFAULT TABLESPACE Clause".
Use the datafile_tempfile_spec clause to specify one or more data files for the tablespace. Refer to datafile_tempfile_spec for the full semantics of this clause.
enable_pluggable_database
Specify this clause to create a CDB. Before issuing the CREATE DATABASE statement, you must set the ENABLE_PLUGGABLE_DATABASE initialization parameter to TRUE. The CREATE DATABASE statement will create a CDB that contains a root and a seed container. You can then create PDBs in the CDB by using the CREATE PLUGGABLE DATABASE statement. If you omit the enable_pluggable_database clause, then a non-CDB is created and it can never contain any containers.
See Also:
-
Oracle Database Administrator's Guide for the complete steps for creating a CDB
file_name_convert
Use the file_name_convert clause to determine how the database generates the names of files (such as data files and wallet files) associated with the seed by using the names of files associated with the root.
-
For
filename_pattern, specify a string found in file names associated with the root. -
For
replacement_filename_pattern, specify a replacement string.
Oracle Database will replace filename_pattern with replacement_filename_pattern when generating the names of files associated with the seed.
File name patterns cannot match files or directories managed by Oracle Managed Files.
You can specify FILE_NAME_CONVERT = NONE, which is the same as omitting this clause. If you omit this clause, then the database first attempts to use Oracle Managed Files to generate seed file names. If you are not using Oracle Managed Files, then the database uses the PDB_FILE_NAME_CONVERT initialization parameter to generate file names. If this parameter is not set, then an error occurs.
tablespace_datafile_clauses
Use these clauses to specify attributes for all data files comprising the SYSTEM and SYSAUX tablespaces in the seed PDB. If you do not specify SIZE size_clause, then the data file size for a given tablespace will be set to a predetermined fraction of the size of the corresponding root data file. If you do not specify the autoextend_clause, then those values are inherited from the root.
Refer to size_clause and autoextend_clause for the full semantics of these clauses.
undo_mode_clause
This clause lets you specify local undo mode or shared undo mode for the CDB.
-
Use
LOCALUNDOONto specify local undo mode for the CDB. In this mode, every container in the CDB uses local undo. -
Use
LOCALUNDOOFFto specify shared undo mode for the CDB. In this mode, there is one active undo tablespace for a single-instance CDB, or for an Oracle RAC CDB, there is one active undo tablespace for each instance.
If you omit this clause, then the default is LOCAL UNDO OFF.
USING MIRROR COPY
Use this clause to create a database with new_database_name using the prepared files of the mirror copy, identified by mirror_name.
Examples
Creating a Database: Example
The following statement creates a database and fully specifies each argument:
CREATE DATABASE sample
CONTROLFILE REUSE
LOGFILE
GROUP 1 ('diskx:log1.log', 'disky:log1.log') SIZE 50K,
GROUP 2 ('diskx:log2.log', 'disky:log2.log') SIZE 50K
MAXLOGFILES 5
MAXLOGHISTORY 100
MAXDATAFILES 10
MAXINSTANCES 2
ARCHIVELOG
CHARACTER SET AL32UTF8
NATIONAL CHARACTER SET AL16UTF16
DATAFILE
'disk1:df1.dbf' AUTOEXTEND ON,
'disk2:df2.dbf' AUTOEXTEND ON NEXT 10M MAXSIZE UNLIMITED
DEFAULT TEMPORARY TABLESPACE temp_ts
UNDO TABLESPACE undo_ts
SET TIME_ZONE = '+02:00';
This example assumes that you have enabled Oracle Managed Files by specifying a value for the DB_CREATE_FILE_DEST parameter in your initialization parameter file. Therefore no file specification is needed for the DEFAULT TEMPORARY TABLESPACE and UNDO TABLESPACE clauses.
Creating a CDB: Example
The following statement creates a CDB newcdb. The ENABLE PLUGGABLE DATABASE clause indicates that a CDB is being created. The CDB will contain a root (CDB$ROOT) and a seed (PDB$SEED). The FILE_NAME_CONVERT clause specifies that names of files for the seed will be generated by replacing /u01/app/oracle/oradata/newcdb in the names of files associated with the root with /u01/app/oracle/oradata/pdbseed.
CREATE DATABASE newcdb
USER SYS IDENTIFIED BY sys_password
USER SYSTEM IDENTIFIED BY system_password
LOGFILE GROUP 1 ('/u01/logs/my/redo01a.log','/u02/logs/my/redo01b.log')
SIZE 100M BLOCKSIZE 512,
GROUP 2 ('/u01/logs/my/redo02a.log','/u02/logs/my/redo02b.log')
SIZE 100M BLOCKSIZE 512,
GROUP 3 ('/u01/logs/my/redo03a.log','/u02/logs/my/redo03b.log')
SIZE 100M BLOCKSIZE 512
MAXLOGHISTORY 1
MAXLOGFILES 16
MAXLOGMEMBERS 3
MAXDATAFILES 1024
CHARACTER SET AL32UTF8
NATIONAL CHARACTER SET AL16UTF16
EXTENT MANAGEMENT LOCAL
DATAFILE '/u01/app/oracle/oradata/newcdb/system01.dbf'
SIZE 700M REUSE AUTOEXTEND ON NEXT 10240K MAXSIZE UNLIMITED
SYSAUX DATAFILE '/u01/app/oracle/oradata/newcdb/sysaux01.dbf'
SIZE 550M REUSE AUTOEXTEND ON NEXT 10240K MAXSIZE UNLIMITED
DEFAULT TABLESPACE deftbs
DATAFILE '/u01/app/oracle/oradata/newcdb/deftbs01.dbf'
SIZE 500M REUSE AUTOEXTEND ON MAXSIZE UNLIMITED
DEFAULT TEMPORARY TABLESPACE tempts1
TEMPFILE '/u01/app/oracle/oradata/newcdb/temp01.dbf'
SIZE 20M REUSE AUTOEXTEND ON NEXT 640K MAXSIZE UNLIMITED
UNDO TABLESPACE undotbs1
DATAFILE '/u01/app/oracle/oradata/newcdb/undotbs01.dbf'
SIZE 200M REUSE AUTOEXTEND ON NEXT 5120K MAXSIZE UNLIMITED
ENABLE PLUGGABLE DATABASE
SEED
FILE_NAME_CONVERT = ('/u01/app/oracle/oradata/newcdb/',
'/u01/app/oracle/oradata/pdbseed/')
SYSTEM DATAFILES SIZE 125M AUTOEXTEND ON NEXT 10M MAXSIZE UNLIMITED
SYSAUX DATAFILES SIZE 100M
USER_DATA TABLESPACE usertbs
DATAFILE '/u01/app/oracle/oradata/pdbseed/usertbs01.dbf'
SIZE 200M REUSE AUTOEXTEND ON MAXSIZE UNLIMITED;










