General examples
General-purpose and introductory examples for the scikit.
Examples based on real world datasets
Applications to real world problems with some medium sized datasets or
interactive user interface.
Calibration
Examples illustrating the calibration of predicted probabilities of classifiers.
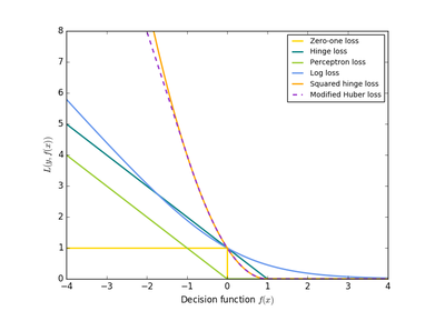
Classification
General examples about classification algorithms.
Tutorial exercises
Exercises for the tutorials
Support Vector Machines
Examples concerning the sklearn.svm module.
Working with text documents
Examples concerning the sklearn.feature_extraction.text module.