DECODE
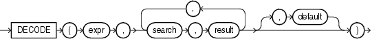
Syntax
Purpose
DECODE compares expr to each search value one by one. If expr is equal to a search, then Oracle Database returns the corresponding result. If no match is found, then Oracle returns default. If default is omitted, then Oracle returns null.
The arguments can be any of the numeric types (NUMBER, BINARY_FLOAT, or BINARY_DOUBLE) or character types.
-
If
exprandsearchare character data, then Oracle compares them using nonpadded comparison semantics.expr,search, andresultcan be any of the data typesCHAR,VARCHAR2,NCHAR, orNVARCHAR2. The string returned is ofVARCHAR2data type and is in the same character set as the firstresultparameter. -
If the first
search-resultpair are numeric, then Oracle compares allsearch-resultexpressions and the firstexprto determine the argument with the highest numeric precedence, implicitly converts the remaining arguments to that data type, and returns that data type.
The search, result, and default values can be derived from expressions. Oracle Database uses short-circuit evaluation. The database evaluates each search value only before comparing it to expr, rather than evaluating all search values before comparing any of them with expr. Consequently, Oracle never evaluates a search if a previous search is equal to expr.
Oracle automatically converts expr and each search value to the data type of the first search value before comparing. Oracle automatically converts the return value to the same data type as the first result. If the first result has the data type CHAR or if the first result is null, then Oracle converts the return value to the data type VARCHAR2.
In a DECODE function, Oracle considers two nulls to be equivalent. If expr is null, then Oracle returns the result of the first search that is also null.
The maximum number of components in the DECODE function, including expr, searches, results, and default, is 255.
See Also:
-
Data Type Comparison Rules for information on comparison semantics
-
Data Conversion for information on data type conversion in general
-
Floating-Point Numbers for information on floating-point comparison semantics
-
Implicit and Explicit Data Conversion for information on the drawbacks of implicit conversion
-
COALESCE and CASE Expressions, which provide functionality similar to that of
DECODE -
Appendix C in Oracle Database Globalization Support Guide for the collation determination rules, which define the collation
DECODEuses to compare characters fromexprwith characters fromsearch, and for the collation derivation rules, which define the collation assigned to the return value of this function when it is a character value
Examples
This example decodes the value warehouse_id. If warehouse_id is 1, then the function returns 'Southlake'; if warehouse_id is 2, then it returns 'San Francisco'; and so forth. If warehouse_id is not 1, 2, 3, or 4, then the function returns 'Non domestic'.
SELECT product_id,
DECODE (warehouse_id, 1, 'Southlake',
2, 'San Francisco',
3, 'New Jersey',
4, 'Seattle',
'Non domestic') "Location"
FROM inventories
WHERE product_id < 1775
ORDER BY product_id, "Location";