38.4 CLUSTER_PROBABILITY
Syntax
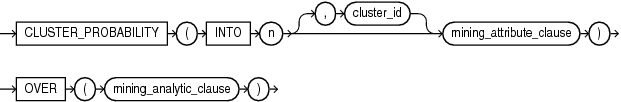
cluster_probability::=
Analytic Syntax
cluster_prob_analytic::=
mining_attribute_clause::=
mining_analytic_clause::=
See Also:
"Analytic Functions" for information on the syntax, semantics, and restrictions of mining_analytic_clause
Purpose
CLUSTER_PROBABILITY returns a probability for each row in the selection. The probability refers to the highest probability cluster or to the specified cluster_id. The cluster probability is returned as BINARY_DOUBLE.
Syntax Choice
CLUSTER_PROBABILITY can score the data in one of two ways: It can apply a mining model object to the data, or it can dynamically mine the data by executing an analytic clause that builds and applies one or more transient mining models. Choose Syntax or Analytic Syntax:
-
Syntax — Use the first syntax to score the data with a pre-defined model. Supply the name of a clustering model.
-
Analytic Syntax — Use the analytic syntax to score the data without a pre-defined model. Include
INTOn, wherenis the number of clusters to compute, and mining_analytic_clause, which specifies if the data should be partitioned for multiple model builds. Themining_analytic_clausesupports aquery_partition_clauseand anorder_by_clause. (See "analytic_clause::=".)
The syntax of the CLUSTER_PROBABILITY function can use an optional GROUPING hint when scoring a partitioned model. See GROUPING Hint.
mining_attribute_clause
mining_attribute_clause identifies the column attributes to use as predictors for scoring. When the function is invoked with the analytic syntax, these predictors are also used for building the transient models. The mining_attribute_clause behaves as described for the PREDICTION function. (See "mining_attribute_clause".)
See Also:
-
Oracle Data Mining User's Guide for information about scoring.
-
Oracle Data Mining Concepts for information about clustering.
Note:
The following example is excerpted from the Data Mining sample programs. For more information about the sample programs, see Appendix A in Oracle Data Mining User's Guide.
Example
The following example lists the ten most representative customers, based on likelihood, of cluster 2.
SELECT cust_id FROM (SELECT cust_id,rank()OVER(ORDER BY prob DESC, cust_id) rnk_clus2 FROM (SELECT cust_id, CLUSTER_PROBABILITY(km_sh_clus_sample, 2 USING *) prob FROM mining_data_apply_v)) WHERE rnk_clus2 <= 10 ORDER BY rnk_clus2; CUST_ID ---------- 100256 100988 100889 101086 101215 100390 100985 101026 100601 100672



