B Diagrams for Basic SQL/JSON Path Expression Syntax
Syntax diagrams and corresponding Backus-Naur Form (BNF) syntax descriptions are presented for the basic SQL/JSON path expression syntax.
The basic syntax of SQL/JSON path expression is explained in Basic SQL/JSON Path Expression Syntax. This topic recapitulates that information in the form of syntax diagrams and BNF descriptions.
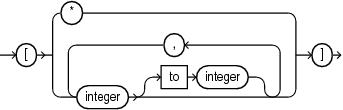
Figure B-6 json_array_step

Description of "Figure B-6 json_array_step"
Note:
-
Array indexing is zero-based, so
integeris a non-negative integer (0, 1, 2, 3,...). -
The first
integerof a range (integertointeger) must be less than the second. -
The array elements must be specified by indexes in ascending order, without repetitions.
A compile-time error is raised if any of these syntax rules is violated.
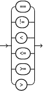
Figure B-16 json_scalar

Description of "Figure B-16 json_scalar"
Note:
json_number is a JSON number: a decimal
numeral, possibly signed and possibly including a decimal
exponent.
See Also:
Oracle Database SQL Language Reference for information about Oracle syntax diagrams













