matplotlib

Travis-CI:

This Page

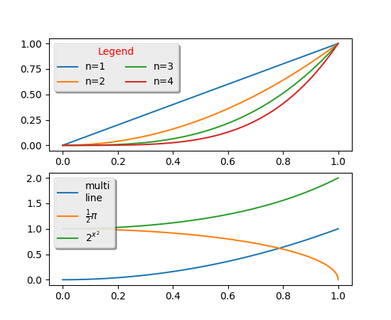
pylab_examples example code: legend_demo3.pyΒΆ

(Source code, png, pdf)

../../_images/legend_demo3.png
import matplotlib.pyplot as plt
import numpy as np

x = np.linspace(0, 1)

# Plot the lines y=x**n for n=1..4.
ax = plt.subplot(2, 1, 1)
for n in range(1, 5):
    plt.plot(x, x**n, label="n={0}".format(n))
plt.legend(loc="upper left", bbox_to_anchor=[0, 1],
           ncol=2, shadow=True, title="Legend", fancybox=True)
ax.get_legend().get_title().set_color("red")

# Demonstrate some more complex labels.
ax = plt.subplot(2, 1, 2)
plt.plot(x, x**2, label="multi\nline")
half_pi = np.linspace(0, np.pi / 2)
plt.plot(np.sin(half_pi), np.cos(half_pi), label=r"$\frac{1}{2}\pi$")
plt.plot(x, 2**(x**2), label="$2^{x^2}$")
plt.legend(shadow=True, fancybox=True)

plt.show()

Keywords: python, matplotlib, pylab, example, codex (see Search examples)