| Oracle® Database SQL Language Reference 11g Release 2 (11.2) Part Number E26088-02 |
|
|
PDF · Mobi · ePub |
A materialized view is a database object that contains the results of a query. The FROM clause of the query can name tables, views, and other materialized views. Collectively these source objects are called master tables (a replication term) or detail tables (a data warehousing term). This reference uses the term master tables for consistency. The databases containing the master tables are called the master databases.
Use the ALTER MATERIALIZED VIEW statement to modify an existing materialized view in one or more of the following ways:
To change its storage characteristics
To change its refresh method, mode, or time
To alter its structure so that it is a different type of materialized view
To enable or disable query rewrite
Note:
The keywordSNAPSHOT is supported in place of MATERIALIZED VIEW for backward compatibility.See Also:
CREATE MATERIALIZED VIEW for more information on creating materialized views
Oracle Database Advanced Replication for information on materialized views in a replication environment
Oracle Database Data Warehousing Guide for information on materialized views in a data warehousing environment
The privileges required to alter a materialized view should be granted directly, as follows:
The materialized view must be in your own schema, or you must have the ALTER ANY MATERIALIZED VIEW system privilege.
To enable a materialized view for query rewrite:
If all of the master tables in the materialized view are in your schema, then you must have the QUERY REWRITE privilege.
If any of the master tables are in another schema, then you must have the GLOBAL QUERY REWRITE privilege.
If the materialized view is in another user's schema, then both you and the owner of that schema must have the appropriate QUERY REWRITE privilege, as described in the preceding two items. In addition, the owner of the materialized view must have SELECT access to any master tables that the materialized view owner does not own.

(physical_attributes_clause::=, modify_mv_column_clause::=, table_compression::=, LOB_storage_clause::=, modify_LOB_storage_clause::=, alter_table_partitioning ::= (part of ALTER TABLE), parallel_clause::=, logging_clause::=, allocate_extent_clause::=, deallocate_unused_clause::=, shrink_clause::=, alter_iot_clauses::=, scoped_table_ref_constraint::=, alter_mv_refresh::=)





(LOB_parameters::=, storage_clause::=)

(storage_clause::=, logging_clause::=)

(storage_clause::=, LOB_retention_clause::=, LOB_compression_clause::=, logging_clause::=, allocate_extent_clause::=, shrink_clause::=, deallocate_unused_clause::=)




(index_org_table_clause::=, alter_overflow_clause::=, alter_mapping_table_clauses: not supported with materialized views)

(mapping_table_clause: not supported with materialized views, key_compression: not supported with materialized views, index_org_overflow_clause::=)
(segment_attributes_clause::=—part of ALTER TABLE)

(allocate_extent_clause::=, shrink_clause::=, deallocate_unused_clause::=)

(segment_attributes_clause::=--part of ALTER TABLE)
scoped_table_ref_constraint::=


Specify the schema containing the materialized view. If you omit schema, then Oracle Database assumes the materialized view is in your own schema.
Specify the name of the materialized view to be altered.
Specify new values for the PCTFREE, PCTUSED, and INITRANS parameters (or, when used in the USING INDEX clause, for the INITRANS parameter only) and the storage characteristics for the materialized view. Refer to ALTER TABLE for information on the PCTFREE, PCTUSED, and INITRANS parameters and to storage_clause for information about storage characteristics.
Use this clause to encrypt or decrypt this column of the materialized view. Refer to the CREATE TABLE clause encryption_spec for information on this clause.
Use the table_compression clause to instruct Oracle Database whether to compress data segments to reduce disk and memory use. Refer to the table_compression clause of CREATE TABLE for the full semantics of this clause.
The LOB_storage_clause lets you specify the storage characteristics of a new LOB. LOB storage behaves for materialized views exactly as it does for tables. Refer to the LOB_storage_clause (in CREATE TABLE) for information on the LOB storage parameters.
The modify_LOB_storage_clause lets you modify the physical attributes of the LOB attribute LOB_item or the LOB object attribute. Modification of LOB storage behaves for materialized views exactly as it does for tables.
See Also:
The modify_LOB_storage_clause ofALTER TABLE for information on the LOB storage parameters that can be modifiedThe syntax and general functioning of the partitioning clauses for materialized views is the same as for partitioned tables. Refer to alter_table_partitioning in the documentation for ALTER TABLE.
Restriction on Altering Materialized View Partitions You cannot specify the LOB_storage_clause or modify_LOB_storage_clause within any of the partitioning_clauses.
Note:
If you want to keep the contents of the materialized view synchronized with those of the master table, then Oracle recommends that you manually perform a complete refresh of all materialized views dependent on the table after dropping or truncating a table partition.MODIFY PARTITION UNUSABLE LOCAL INDEXES Use this clause to mark UNUSABLE all the local index partitions associated with partition.
MODIFY PARTITION REBUILD UNUSABLE LOCAL INDEXES Use this clause to rebuild the unusable local index partitions associated with partition.
The parallel_clause lets you change the default degree of parallelism for the materialized view.
For complete information on this clause, refer to parallel_clause in the documentation on CREATE TABLE.
Specify or change the logging characteristics of the materialized view. Refer to the logging_clause for a full description of this clause.
The allocate_extent_clause lets you explicitly allocate a new extent for the materialized view. Refer to the allocate_extent_clause for a full description of this clause.
Use the deallocate_unused_clause to explicitly deallocate unused space at the end of the materialized view and make the freed space available for other segments. Refer to the deallocate_unused_clause for a full description of this clause.
Use this clause to compact the materialized view segments. For complete information on this clause, refer to shrink_clause in the documentation on CREATE TABLE.
For data that will be accessed frequently, CACHE specifies that the blocks retrieved for this table are placed at the most recently used end of the LRU list in the buffer cache when a full table scan is performed. This attribute is useful for small lookup tables. NOCACHE specifies that the blocks are placed at the least recently used end of the LRU list. Refer to "CACHE | NOCACHE | CACHE READS" in the documentation on CREATE TABLE for more information about this clause.
Use the alter_iot_clauses to change the characteristics of an index-organized materialized view. The keywords and parameters of the components of the alter_iot_clauses have the same semantics as in ALTER TABLE, with the restrictions that follow.
Restrictions on Altering Index-Organized Materialized Views You cannot specify the mapping_table_clause or the key_compression clause of the index_org_table_clause.
See Also:
index_org_table_clause ofCREATE MATERIALIZED VIEW for information on creating an index-organized materialized viewUse this clause to change the value of INITRANS and STORAGE parameters for the index Oracle Database uses to maintain the materialized view data.
Restriction on the USING INDEX clause You cannot specify the PCTUSED or PCTFREE parameters in this clause.
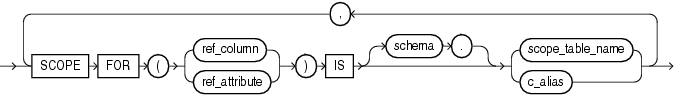
MODIFY scoped_table_ref_constraint
Use the MODIFY scoped_table_ref_constraint clause to rescope a REF column or attribute to a new table or to an alias for a new column.
Restrictions on Rescoping REF Columns You can rescope only one REF column or attribute in each ALTER MATERIALIZED VIEW statement, and this must be the only clause in this statement.
Use the alter_mv_refresh clause to change the default method and mode and the default times for automatic refreshes. If the contents of the master tables of a materialized view are modified, then the data in the materialized view must be updated to make the materialized view accurately reflect the data currently in its master table(s). This clause lets you schedule the times and specify the method and mode for Oracle Database to refresh the materialized view.
Note:
This clause only sets the default refresh options. For instructions on actually implementing the refresh, refer to Oracle Database Advanced Replication and Oracle Database Data Warehousing Guide.Specify FAST for the incremental refresh method, which performs the refresh according to the changes that have occurred to the master tables. The changes are stored either in the materialized view log associated with the master table (for conventional DML changes) or in the direct loader log (for direct-path INSERT operations).
For both conventional DML changes and for direct-path INSERT operations, other conditions may restrict the eligibility of a materialized view for fast refresh.
See Also:
Oracle Database Advanced Replication for restrictions on fast refresh in replication environments
Oracle Database Data Warehousing Guide for restrictions on fast refresh in data warehouse environments
Restrictions on FAST Refresh FAST refresh is subject to the following restrictions:
When you specify FAST refresh at create time, Oracle Database verifies that the materialized view you are creating is eligible for fast refresh. When you change the refresh method to FAST in an ALTER MATERIALIZED VIEW statement, Oracle Database does not perform this verification. If the materialized view is not eligible for fast refresh, then Oracle Database returns an error when you attempt to refresh this view.
Materialized views are not eligible for fast refresh if the defining query contains an analytic function.
You cannot fast refresh a materialized view if any of its columns is encrypted.
See Also:
"Analytic Functions"Specify COMPLETE for the complete refresh method, which is implemented by executing the defining query of the materialized view. If you specify a complete refresh, then Oracle Database performs a complete refresh even if a fast refresh is possible.
See Also:
"Complete Refresh: Example"Specify FORCE if, when a refresh occurs, you want Oracle Database to perform a fast refresh if one is possible or a complete refresh otherwise.
Specify ON COMMIT if you want a fast refresh to occur whenever Oracle Database commits a transaction that operates on a master table of the materialized view.
You cannot specify both ON COMMIT and ON DEMAND. If you specify ON COMMIT, then you cannot also specify START WITH or NEXT.
Restriction on ON COMMIT This clause is supported only for materialized join views and single-table materialized aggregate views.
Specify ON DEMAND if you want the materialized view to be refreshed on demand by calling one of the three DBMS_MVIEW refresh procedures. If you omit both ON COMMIT and ON DEMAND, then ON DEMAND is the default.
You cannot specify both ON COMMIT and ON DEMAND. START WITH and NEXT take precedence over ON DEMAND. Therefore, in most circumstances it is not meaningful to specify ON DEMAND when you have specified START WITH or NEXT.
See Also:
Oracle Database PL/SQL Packages and Types Reference for information on these procedures
Oracle Database Data Warehousing Guide on the types of materialized views you can create by specifying REFRESH ON DEMAND
Specify START WITH date to indicate a date for the first automatic refresh time.
Specify NEXT to indicate a date expression for calculating the interval between automatic refreshes.
Both the START WITH and NEXT values must evaluate to a time in the future. If you omit the START WITH value, then Oracle Database determines the first automatic refresh time by evaluating the NEXT expression with respect to the creation time of the materialized view. If you specify a START WITH value but omit the NEXT value, then Oracle Database refreshes the materialized view only once. If you omit both the START WITH and NEXT values, or if you omit the alter_mv_refresh entirely, then Oracle Database does not automatically refresh the materialized view.
Specify WITH PRIMARY KEY to change a rowid materialized view to a primary key materialized view. Primary key materialized views allow materialized view master tables to be reorganized without affecting the ability of the materialized view to continue to fast refresh.
For you to specify this clause, the master table must contain an enabled primary key constraint and must have defined on it a materialized view log that logs primary key information.
See Also:
Oracle Database Advanced Replication for detailed information about primary key materialized views
This clause is not valid if your database is in automatic undo mode, because in that mode Oracle Database uses undo tablespaces instead of rollback segments. Oracle strongly recommends that you use automatic undo mode. This clause is supported for backward compatibility with replication environments containing older versions of Oracle Database that still use rollback segments.
For complete information on this clause, refer to CREATE MATERIALIZED VIEW ... "USING ROLLBACK SEGMENT Clause".
This clause has the same semantics in CREATE MATERIALIZED VIEW and ALTER MATERIALIZED VIEW statements. For complete information, refer to "USING ... CONSTRAINTS Clause" in the documentation on CREATE MATERIALIZED VIEW.
Use this clause to determine whether the materialized view is eligible to be used for query rewrite.
Specify ENABLE to enable the materialized view for query rewrite.
See Also:
"Enabling Query Rewrite: Example"Restrictions on Enabling Materialized Views Enabling materialized views is subject to the following restrictions:
If the materialized view is in an invalid or unusable state, then it is not eligible for query rewrite in spite of the ENABLE mode.
You cannot enable query rewrite if the materialized view was created totally or in part from a view.
You can enable query rewrite only if all user-defined functions in the materialized view are DETERMINISTIC.
See Also:
CREATE FUNCTIONYou can enable query rewrite only if expressions in the statement are repeatable. For example, you cannot include CURRENT_TIME or USER.
See Also:
Oracle Database Data Warehousing Guide for more information on query rewriteSpecify DISABLE if you do not want the materialized view to be eligible for use by query rewrite. If a materialized view is in the invalid state, then it is not eligible for use by query rewrite, whether or not it is disabled. However, a disabled materialized view can be refreshed.
Specify COMPILE to explicitly revalidate a materialized view. If an object upon which the materialized view depends is dropped or altered, then the materialized view remains accessible, but it is invalid for query rewrite. You can use this clause to explicitly revalidate the materialized view to make it eligible for query rewrite.
If the materialized view fails to revalidate, then it cannot be refreshed or used for query rewrite.
See Also:
"Compiling a Materialized View: Example"This clause lets you manage the staleness state of a materialized view after changes have been made to its master tables. CONSIDER FRESH directs Oracle Database to consider the materialized view fresh and therefore eligible for query rewrite in the TRUSTED or STALE_TOLERATED modes. Because Oracle Database cannot guarantee the freshness of the materialized view, query rewrite in ENFORCED mode is not supported. This clause also sets the staleness state of the materialized view to UNKNOWN. The staleness state is displayed in the STALENESS column of the ALL_MVIEWS, DBA_MVIEWS, and USER_MVIEWS data dictionary views.
A materialized view is stale if changes have been made to the contents of any of its master tables. This clause directs Oracle Database to assume that the materialized view is fresh and that no such changes have been made. Therefore, actual updates to those tables pending refresh are purged with respect to the materialized view.
See Also:
Oracle Database Data Warehousing Guide for more information on query rewrite and the implications of performing partition maintenance operations on master tables
Automatic Refresh: Examples The following statement changes the default refresh method for the sales_by_month_by_state materialized view (created in "Creating Materialized Aggregate Views: Example") to FAST:
ALTER MATERIALIZED VIEW sales_by_month_by_state REFRESH FAST;
The next automatic refresh of the materialized view will be a fast refresh provided it is a simple materialized view and its master table has a materialized view log that was created before the materialized view was created or last refreshed.
Because the REFRESH clause does not specify START WITH or NEXT values, Oracle Database will use the refresh intervals established by the REFRESH clause when the sales_by_month_by_state materialized view was created or last altered.
The following statement establishes a new interval between automatic refreshes for the sales_by_month_by_state materialized view:
ALTER MATERIALIZED VIEW sales_by_month_by_state REFRESH NEXT SYSDATE+7;
Because the REFRESH clause does not specify a START WITH value, the next automatic refresh occurs at the time established by the START WITH and NEXT values specified when the sales_by_month_by_state materialized view was created or last altered.
At the time of the next automatic refresh, Oracle Database refreshes the materialized view, evaluates the NEXT expression SYSDATE+7 to determine the next automatic refresh time, and continues to refresh the materialized view automatically once a week. Because the REFRESH clause does not explicitly specify a refresh method, Oracle Database continues to use the refresh method specified by the REFRESH clause of the CREATE MATERIALIZED VIEW or most recent ALTER MATERIALIZED VIEW statement.
CONSIDER FRESH: Example The following statement instructs Oracle Database that materialized view sales_by_month_by_state should be considered fresh. This statement allows sales_by_month_by_state to be eligible for query rewrite in TRUSTED mode even after you have performed partition maintenance operations on the master tables of sales_by_month_by_state:
ALTER MATERIALIZED VIEW sales_by_month_by_state CONSIDER FRESH;
See Also:
"Splitting Table Partitions: Examples" for a partitioning maintenance example that would require thisALTER MATERIALIZED VIEW exampleComplete Refresh: Example The following statement specifies a new refresh method, a new NEXT refresh time, and a new interval between automatic refreshes of the emp_data materialized view (created in "Periodic Refresh of Materialized Views: Example"):
ALTER MATERIALIZED VIEW emp_data REFRESH COMPLETE START WITH TRUNC(SYSDATE+1) + 9/24 NEXT SYSDATE+7;
The START WITH value establishes the next automatic refresh for the materialized view to be 9:00 a.m. tomorrow. At that point, Oracle Database performs a complete refresh of the materialized view, evaluates the NEXT expression, and subsequently refreshes the materialized view every week.
Enabling Query Rewrite: Example The following statement enables query rewrite on the materialized view emp_data and implicitly revalidates it:
ALTER MATERIALIZED VIEW emp_data ENABLE QUERY REWRITE;
Primary Key Materialized View: Example The following statement changes the rowid materialized view order_data (created in "Creating Rowid Materialized Views: Example") to a primary key materialized view. This example requires that you have already defined a materialized view log with a primary key on order_data.
ALTER MATERIALIZED VIEW order_data REFRESH WITH PRIMARY KEY;
Compiling a Materialized View: Example The following statement revalidates the materialized view store_mv:
ALTER MATERIALIZED VIEW order_data COMPILE;